2024年10月9日,蔡兴科研究员团队在《Chemical Science》发表了一篇题为“Second-shell modulation on porphyrin-like Pt single atom catalysts for boosting oxygen reduction reaction”的学术论文。深圳大学高等研究院为第一完成单位,第一作者为深圳大学高等研究院出站博士后Tayyaba Najam,蔡兴科研究员与南方科技大学讲席教授徐强共同担任本论文的通讯作者。工作重点研究了单原子Pt催化剂的第二配位壳层的调控。该工作表明除金属催化中心和第一配位壳层外,第二配位壳层对催化剂的性能也有巨大影响。
第一配位壳层被认为是决定单原子催化剂(SAC)性能的关键,而第二配位壳层的重要性一直被忽视。如果第二配位壳层具有显著的影响,则除了催化中心和第一配位壳层的调节之外,它可以为优化SAC的性能提供额外的途径。近年,也有少量论文报道金属催化位点第二配位壳层对催化活性的影响,通过在第二配位壳层的掺杂,可以有效提升催化活性。然而,这些论文主要是通过电镜分析给予一定的证据,证明第二配位壳层的改变,并不能从宏观上给予足够的证明。而宏观表征原子配位环境的同步辐射表征技术,一般只能分析得到活性中心及第一配位壳层的精细结构,对于第二壳层的响应非常微弱。因此,有效证明第二配位壳层配位环境的改变及其对性能的影响,将对单原子催化剂的研究具有深远的影响。
本工作以卟啉类Pt单原子催化剂为例,通过理论分析结合实验数据表征,证明通过后处理的方法,P原子在PtN4的第一配位壳层进行掺杂是不稳定的,其将掺杂于第二配位壳层,与N原子直接键合。这个P原子,不仅能够增强了Pt单原子的ORR活性,更重要的是可以防止PtN4的对称催化结构在酸性介质中被SO42-或者ClO4-完全覆盖,从而导致的Pt催化位点中毒。
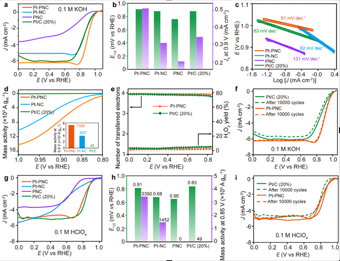
与具有相同Pt含量的PtN4结构相比,具有0.22wt%的超低Pt含量的PtN4P催化剂表现出显著改善的ORR性能(图1)。在碱性和酸性介质中,PtN4P催化剂与PtN4结构相比显示出更高的ORR E1/2值。此外,尽管其Pt含量超低,但PtN4P催化剂表现出与Pt/C催化剂相当的E1/2值,并表现出上级循环稳定性。

图1.第二配位壳层被P修饰的PtN4催化剂在酸性和碱性环境下的ORR性能研究
这项工作不仅从理论上给出了第二配位壳层调控稳定性的理论指导,同时直接提出了在得到稳定第一配位壳层后,再进行后处理掺杂的方式来实现第二配位壳层的可控调控。同时,此工作也为电催化剂的毒化机理提供了理论证据和规避方法(图2)。

图2. P原子在第二配位壳层提升ORR活性的机理及避免ClO4-毒化的机理研究
该研究得到国家基金(52373266、12305364、12275271、2023YFA1506601)广东省基金(2022A1515010670、2022A1515011048、2021ZT09C064)、深圳市科技计划项目(批准号:KQTD20170810105439418、20200812112006001、GJHZ20220913142610020)的资助。
原文链接:https://pubs.rsc.org/en/content/articlelanding/2024/sc/d4sc03369h