深圳大学化学与环境工程学院毛艳萍课题组在期刊《Environmental Science and Ecotechnology》(影响因子12.6,中科院JCR 1 区)上发表了题为《Enhanced nitrate reduction in hypotrophic waters with integrated photocatalysis and biodegradation》的论文。深圳大学化学与环境工程学院硕士研究生薛冰洁和田里为论文共同第一作者,深圳大学化学与环境工程学院为第一署名单位。

目前,氮污染对水环境和人体健康造成了极大威胁,城镇污水处理厂常利用反硝化菌进行硝酸盐的还原,以达到脱氮的目的。反硝化菌多为异养微生物,对有机碳需求量大,而反硝化过程常发生在污水处理的后段,有机碳源不足在一定程度上抑制了硝酸盐的去除。尤其在当前污水处理厂提标扩能的大背景下,要求进一步提高污水脱氮效率,亟待开发新的污水处理工艺,以提升脱氮效果。
光催化与生物降解紧密耦合技术(Intimatelycoupling of photocatalysis and biodegradation, ICPB)结合了光催化反应和微生物处理的优点,是一种新型的去除生物难降解污染物的技术,研究表明ICPB对硝酸盐具有较好的还原效果。然而,ICPB在低碳条件下还原硝酸盐的效果尚不明确,其微生物代谢机制及菌群结构功能变化需进一步研究。因此,本研究制备了促进硝酸盐光催化反应的催化剂,驯化了稳定高效的生物膜构建ICPB体系。利用物化表征测试手段和分子生物学方法探究不同影响因子对ICPB去除硝酸盐的效果,揭示低碳条件下系统中光催化与微生物降解的协同作用机理,阐明微生物的菌群结构和功能变化规律,为低碳水体中硝酸盐的还原提供了科学依据和技术支持。

图1 ICPB载体和反应器示意图
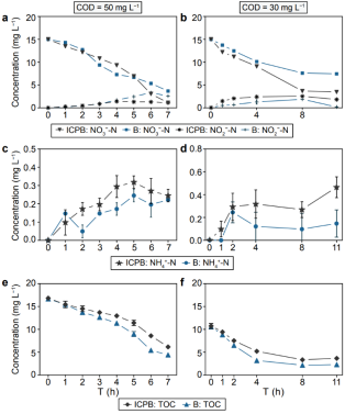
本研究共制备了12种光催化剂,其中以硫脲作为前驱体制备的g-C3N4,与TiO2以1:2比例复合制备的TiO2/g-C3N4具有最好的硝酸盐还原效率。形貌表征结果证实了g-C3N4与TiO2的有效结合,且该催化剂具有最低的光生载流子复合速率和最窄的禁带宽度,为其优异的光催化性能提供了保障。使用该催化剂搭建ICPB反应器用于还原硝酸盐,发现与传统生物降解相比,ICPB可以将硝酸盐还原效率提高17%,氮转化效率提高11%。在低有机碳条件下,ICPB利用比生物降解少12.2%的有机碳,能将硝酸盐还原率提高26.3%。此外,ICPB还能有效提高氮气生成效率,抑制不良中间产物的积累。

图2 十二种光催化剂的硝酸盐还原曲线
(T:硫脲;M:三聚氰胺;D:二氰二胺;U:尿素;比例为TiO2: g-C3N4)

图3 ICPB和生物降解(B)过程中NO3−, NO2−(a, b), NH4+(c, d) 和 TOC (e, f)的浓度变化
通过对细菌群落的多样性分析发现,在ICPB反应后微生物群落的丰富度和均匀度下降,功能性细菌可能被富集。通过微生物群落分析发现,随着ICPB循环次数的增加,在氮循环中起重要作用的菌属逐渐占据主导地位。此外,系统中的厌氧代谢逐渐取代了好氧代谢。系统的微生物群落朝有利于硝酸盐还原的方向演变。

图4 ICPB反应前后相对丰度大于1%的优势菌属
为进一步探索微生物群落中氮代谢功能的变化,本研究分析了与氮循环相关的代谢通路与功能基因,发现ICPB反应后与氮循环相关的代谢通路和功能基因丰度均显著增加(图5)。此外,本研究还推断了ICPB系统中可能存在的硝酸盐代谢途径(图6)。通过对反硝化代谢相关基因的定量分析,ICPB系统在基因水平上对氮的去除潜力得到了证明,这有利于进一步研究ICPB的反硝化机制。

图5 ICPB反应前后与氮循环相关的代谢通路和功能基因变化

图6 ICPB体系氮代谢通路模型
本研究得到了广东省自然科学基金、深圳市自然科学基金(高等院校稳定支持计划)的支持。
原文链接:https://www.sciencedirect.com/science/article/pii/S2666498424000048
撰稿:毛艳萍 审核:郭凯、李永亮
(更新于2024/5/4 10:20:00)